第111回薬剤師国家試験
◆ 問18
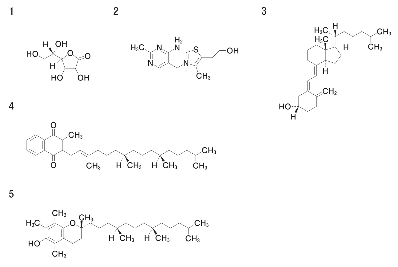
欠乏によりウェルニッケ脳症が引き起こされるビタミンはどれか。1つ選べ。
◆ 問18
◆領域・タグ
◆正解・解説
正解:2
選択肢2はチアミン(ビタミンB₁)で、アミノピリミジン環とチアゾリウム環(+電荷)をもつ構造が特徴的です。
チアミンは体内でリン酸化されてTPP(チアミンピロリン酸)となり、ピルビン酸デヒドロゲナーゼ・α-ケトグルタル酸デヒドロゲナーゼ・トランスケトラーゼの補酵素として糖代謝に必須です。欠乏するとATP産生が激減し、エネルギー要求量の高い脳・神経組織が真っ先にダメージを受けます。これがウェルニッケ脳症(眼球運動障害・失調・意識障害の三徴)の原因です。アルコール依存症や重度の栄養不足で好発します。
他の構造との区別ポイント:
| 番号 | ビタミン | 欠乏症 |
|------|----------|--------|
| 1 | C(アスコルビン酸) | 壊血病 |
| 2 | B₁(チアミン) | ウェルニッケ脳症・脚気 |
| 3 | D(コレカルシフェロール) | くる病・骨軟化症 |
| 4 | K(フィロキノン) | 出血傾向 |
| 5 | E(トコフェロール) | 溶血性貧血・神経障害 |
🧠 語呂:「B₁なければブレイン(脳)がウェルニッケ」――B₁=Brain(脳)のビタミンと覚えましょう!
