第111回薬剤師国家試験
◆ 問8
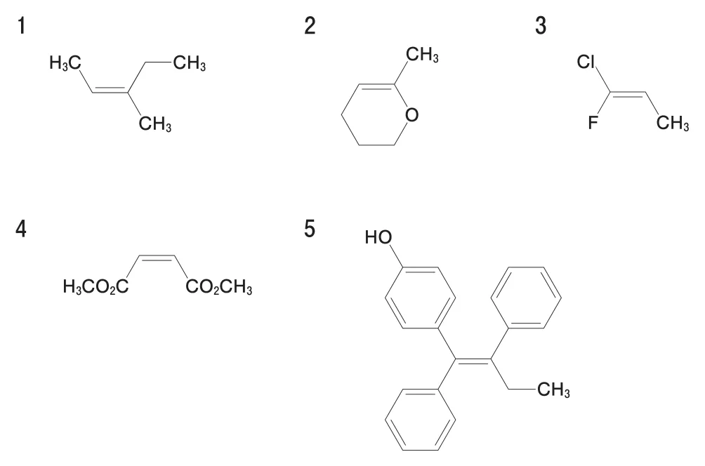
芳香環を除く二重結合が、E 配置であるのはどれか。1つ選べ。
◆ 問8
◆領域・タグ
◆正解・解説
正解:3
E/Z配置はCIP(カーン・インゴールド・プレローグ)優先順位規則に基づき決定します。各二重結合炭素の2つの置換基に優先順位をつけ、両炭素の最優先基が互いに反対側にあればE配置(独語:Entgegen=反対)、同側であればZ配置(独語:Zusammen=一緒)です。
化合物3の判断手順を追います。
- 左の二重結合炭素:ClとFが結合 → 原子番号Cl(17)>F(9)なので、Clが第1優先基
- 右の二重結合炭素:CH₃とHが結合 → CH₃が第1優先基
構造式を確認すると、ClとCH₃は二重結合を挟んで対角(反対側)に位置しており、→ E配置と決定できます。
他の化合物はいずれもZ配置です。化合物1は最優先基(H₃CとCH₂CH₃)が同側、化合物2は環内二重結合のため幾何学的にZ相当、化合物4は両エステル基が同側(ジメチルマレアート型=Z)、化合物5はタモキシフェン類似のトリアリールエチレンでZ配置です。
💡 語呂メモ:「E=エンタイ(反対)」と覚えると、最優先基が'反対側'にあるのがEとすぐ想起できます。
